


鋰電池是一種以鋰離子為電荷載體的可充電電池,廣泛應用于便攜式電子設備、電動汽車(EVs)、能源存儲系統以及其他多種應用中。鋰電池由正極材料、負極材料、電解液、隔膜、電池外殼等部件組成,其中
1.正極材料:常見的有鋰鈷氧化物(LiCoO2)、鋰鐵磷酸鹽(LiFePO4)、鋰鎳錳鈷氧化物(NMC)等。
2. 負極材料:通常使用石墨或硅基材料。
3. 電解液:含有鋰鹽的有機溶劑,如六氟磷酸鋰(LiPF6)溶解在碳酸酯類溶劑中。
4. 隔膜:一種多孔材料,允許鋰離子通過,同時防止電極間的物理接觸。
5 .電池外殼:保護內部組件并提供結構支持。
如新能源汽車上使用的磷酸鐵鋰電池和三元鋰電池,正極使用的配方與主量元素間的配比,直接決定電池的能量密度、充放電循環效率等。正/負極材料與點解液中的雜質元素含量,對電池品質也有著重要影響,珀金埃爾默分析儀器對上述質量控制節點,均有很好的解決方案。
1、ICP-OES/ICP-MS正極材料分析中的應用
鋰電池的正極質量影響著電池的充放電性能,其中正極的主量元素配比以及雜質元素的濃度尤為重要。當正極材料中存在鐵(Fe )、銅(Cu)、鉻(Cr)、鎳(Ni)、鋅(Zn)、鉛(Pb)等金屬雜質時,電池化成階段的電壓達到這些金屬元素的氧化還原電位后,這些金屬就會先在正極氧化再到負極還原,當負極處的金屬單質累積到一定程度,其沉積金屬堅硬的棱角就會刺穿隔膜,造成電池自放電。自放電對鋰離子電池會造成致命的影響,因而從源頭上防止金屬異物的引入就顯得格外重要。

圖1. 電池正極材料
現階段的眾多鋰電池企業,均采用ICP-OES作為主量元素配比以及雜質元素濃度的測定工具。使用ICP-OES測試主量與雜質元素時,可能會遇到的一些問題如:
1.主量元素濃度高,儀器動態范圍是否夠寬?
2.測定主含量元素的同時,能否測定微量雜質元素?
3.測定主含量元素儀器是否穩定?
4.測定雜質儀器是否有足夠的靈敏度?
得益于珀金埃爾默公司Avio系列ICP-OES上的獨特設計,配備平板等離子體技術、雙向觀測模式、豐富的元素譜線庫、專利性的光譜干擾校正技術(MSF,多譜擬合技術)能夠有效解決上述問題。

伴隨著產業的發展以及工藝的提升,對雜質的管控越發嚴格,雜質濃度限值一直在往下調。ICP-OES由于其儀器原理的限制,在測定低濃度雜質元素時遇到瓶頸。Cr、Cu、Fe、Zn、Pb這些元素尤其明顯。據調研,部分廠家該5個元素濃度控制在1ppm以下(部分廠家Fe含量在10 ppm以內),在常規100倍固液稀釋比前處理后,樣品溶液中該元素濃度在10 ppb以下,因此使用ICP-OES進行檢測遇到了極大的挑戰,尤其在譜線干擾嚴重的情況下。而ICP-MS由于其靈敏度更高,檢測下限更低,是一個非常好的檢測手段。

圖2. NexION系列ICP-MS
使用ICP-MS測試正極材料中雜質元素的挑戰包括:
1. 雜質元素會受到主量元素質譜干擾;
2. 對不同類型的質譜干擾,需要不同的干擾校正模式。
通過對多個廠家的鋰電正極材料做測試,運用空白實驗、平行樣、加標回收等質控手段進行測試,驗證了珀金埃爾默NexION系列ICP-MS,標配AMS進樣系統,配合大錐孔三錐設計,四極桿離子偏轉器,可以獲得優異的基體耐受性、儀器穩定性,以及更低的記憶效應。

圖3. NexION ICP-MS測試正極材料雜質元素加標回收率

圖4. NexION ICP-MS測試正極材料雜質元素校準曲線
實驗結果表明,通過選擇合適的同位素以及儀器強大的耐基體性能保證了數據的準確性與穩定性。該方法十分適合分析高基體鋰電正極材料。
2、ICP-MS在鋰電池電解液分析中的應用
電解液是鋰離子電池的重要組成部分,在電池中作為離子傳輸的載體,使鋰離子在正負極間移動。電解液通常由鋰鹽、溶劑和添加劑組成,其中溶劑提供離子傳輸介質,鋰鹽增強電解質的離子傳輸率。
電解液樣品無法用傳統的微波消解前處理,因為樣品中含有乙醇與其他揮發性有機物,微波消解會發生爆罐。馬弗爐灰化會產生大量有毒的氟化磷,而電熱板消解需要大量酸同時實驗人員必須在邊上值守防止樣品碳化,耗時且會引入污染。所以對于這類樣品用有機溶劑直接溶解后快速直接進樣。短時間內即可處理完樣品,同時避免了容器與酸引入的污染。
珀金埃爾默公司的ICP-MS搭配全基體進樣系統(AMS)為電解液中雜質元素分析提供一條全新思路。利用ICP-MS極高的靈敏度,可以采取更大稀釋倍數降低Li元素帶來的高鹽影響,在前處理方面,僅采使用10%甲醇(電子級),50倍稀釋上機,AMS使用氬氧混合氣,實現加氧防止有機物積碳,同時用氬氣減少基體效應。實現了電解液中雜質元素的準確、高效、環保分析。
電解液直接進樣也會引入大量C相關的質譜干擾,如Mg、Al、Cr會分別受到CC、CN、ArC等干擾,另外Ar與H2O也會是K,Ca,Fe等收到干擾。NexION系列ICP-MS全系列均可使用純氨氣作為反應氣體,消除相應的質譜干擾。從而獲得最準確的結果。

圖5. NexION ICP-MS測試電解液雜質元素1ppb(Hg 0.1ppb)加標回收率

圖6. NexION ICP-MS測試電解液雜質部分元素校準曲線
3、GCMS在鋰電池電解液分析中的應用
通常用于商用鋰電池的電解質溶液含有鋰鹽、有機溶劑和一些添加劑。有機溶劑主要是環狀碳酸酯,例如碳酸亞乙酯和碳酸丙烯酯,或鏈狀碳酸酯,例如碳酸二乙酯和碳酸甲乙酯。這些碳酸鹽的構成和比例對鋰離子電池的能量密度、循環壽命和安全性有重要影響。因此,研究電解質溶液中碳酸鹽的構成和含量對鋰離子電池的開發和質量控制起著重要作用。

圖7. 珀金埃爾默 GCMS 2400
珀金埃爾默 GCMS 2400配 EI 源測定了鋰離子電池電解液中的9種碳酸鹽。實驗結果顯示該方法具有良好的精確度、回收率、線性和檢測限,能夠滿足鋰離子電池行業的需求。
表1. 精確度、回收率以及方法檢出限、定量限

4、GC在鋰電池中鼓包氣體成分分析中的應用
鋰離子電池因其重量輕、能量密度高以及比其他類型電池的使用壽命長等特性,被廣泛應用于動力、儲能等產業。鋰離子電池在循環使用或儲存中,可能因為電解液組分發生成膜及氧化反應、電池過充過放、內部微短路等原因導致SEI膜分解破壞從而產生氣體,也可能因電解液中的高含量水分發生電解反應等原因導致電池產氣鼓包, 從而帶來極大的安全隱患。因此,了解電池鼓包氣體的組成對于優化電解液的組成是至關重要的。
珀金埃爾默獨特的解決方案,采用氣相色譜TCD和帶甲烷轉化爐FID檢測器串接技術對鋰離子電池中產生的鼓包氣體進行檢測,獲得鼓包氣體的主要成分和定量分析。常見鼓包氣成分有H2,O2,N2,CO,CO2等永久性氣體以及CH4,C2H4,C2H6等烷烴類氣體,采用TCD和帶甲烷轉化爐FID檢測器串接技術可以同時滿足高含量的CO,CO2分析以及低含量的CO,CO2 ,CH4,C2H4,C2H6等烷烴分析,該方法CO,CO2及烷烴類檢出限小于1ppm,H2檢出限小于10 ppm,該方法可實現手動氣密針進樣以及氣體閥進樣,可以獲得待測鋰離子電池鼓包氣體完整、精準的分析結果。
表2.n=7次進樣的相對標準偏差(RSD%)


圖7.鼓包氣氣體成分參考譜圖
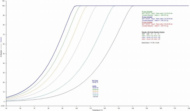
5、熱分析設備在電池領域的應用簡介
在電池組原材料領域, DSC設備可用來分析聚合物以及金屬材料的各種相變過程以及相應吸放熱量的大。ū热绶治鼍郾┑牟AЩD變溫度以及結晶熔融過程等);STA同步熱分析儀可以研究各種材料的熱穩定性,確定熱分解溫度,定量測定復合材料的相對組成比例等。典型圖譜如下圖8和圖9所示;

圖8 電池原材料熔融和結晶過程評價

圖9 電池原材料熱穩定性評價曲線
電池組件由正極、負極和隔膜等各種組件構成,珀金埃爾默公司所提供的逸出氣體聯用裝置可用于研究各組件在溫度變化過程中產生各類逸出氣體的定性定量數據。圖10為典型的STA-FTIR聯用測試曲線;

圖10 電池組件逸出氣體分析測試譜圖
在電池封裝領域,可對組件封裝材料——EVA(乙烯-醋酸乙烯共聚物)等材料的交聯率進行快速測試,進而替代傳統的溶劑測試法。典型測試譜圖如圖11所示;

圖11 電池封裝材料交聯度預測曲線